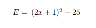
Question 1
1) Développer E.
2) Factoriser E.
2) Résoudre l'équation: E = 0.
Question 2
f est la fonction linéaire telle que f(-2)=3.
Déterminer son coefficient.
Question 3
f est la fonction affine telle que f(4)=2 et f(1)=-5.
Déterminer le coefficient directeur et l'ordonnée à l'origine.
Question 4
Déterminer la fonction f définie par la courbe rouge.
Question 5
Déterminer la fonction f définie par la courbe bleue.